Andaman Boutique Residences Co., Ltd.

⚠ ВАЖНОЕ ПРЕДУПРЕЖДЕНИЕ

Andaman Boutique Residences Co., Ltd.

Компания Andaman Boutique Residences Co., Ltd. неоднократно нарушала свои обязательства по договорам аренды и возврата средств.

Ключевые факты

Хронология событий

ДатаСобытиеИсточник
27.12.2023Письмо арендатора: условие возврата при отсутствии разрешенийMrs. Anna Petrova
01.03.2024Обещанный старт строительства (не выполнен)Письмо ABR
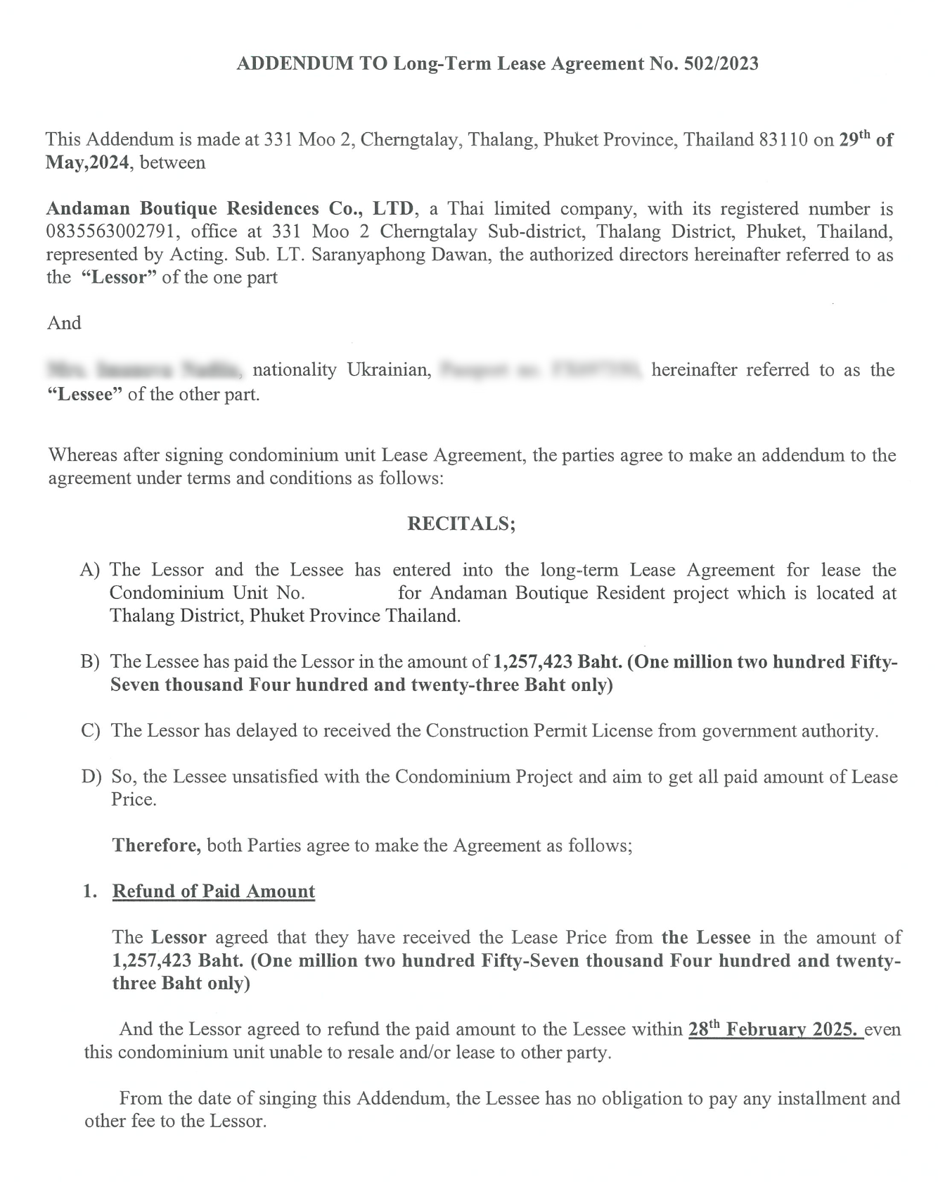
29.05.2024Addendum: обязательство возврата 1,257,423 THB до 28.02.2025Доп. соглашение
30.06.2025Срыв выплаты 500,000 THBAddendum, Breach Notice
31.07.2025Срыв выплаты 500,000 THBAddendum, Breach Notice
11.07.2025Официальное уведомление о нарушении обязательствBreach Notice

❗ Мы настоятельно НЕ рекомендуем вкладывать деньги в проекты Andaman Boutique Residences Co., Ltd.

Компания систематически нарушает договорные обязательства, не выполняет условия возврата средств и не получила обязательные государственные разрешения.

Покупатели рискуют потерять свои средства.

Заключение

На основании представленных документов (письма, доп. соглашение, уведомления) подтверждено: Andaman Boutique Residences Co., Ltd. не выполняет обязательств перед клиентами.

Все факты задокументированы и могут быть использованы как доказательства в суде.

⚠ Важно: Аналогичные проблемы подтверждены ещё в 4 объектах, принадлежащих разным собственникам. Все они столкнулись с такой же ситуацией — отсутствие разрешений, невозврат средств и срыв графика.

Документальные подтверждения

Ниже приведены сканы официальных документов (ФИО и личные данные скрыты):

Документ 1 Документ 2 Документ 3 Документ 4